(Desde http://www.navegar.com/ y https://www.nauticayyates.com/)
Todo marino debe saber utilizar los equipos de VHF a bordo, ya sean fijos o portátiles. Forma parte de la aptitud del navegante. Y ese saber parte del conocimiento de los canales y frecuencias utilizadas en la banda VHF del Servicio Móvil Marítimo.
Canal 16
Frecuencia 156,800 MHz
El canal 16 es de escucha obligatoria desde el momento en que se inicia la navegación (pese a un intento hace unos años de eliminar el imperativo a tenor de la LSD). Es el canal y frecuencia establecida en todo el mundo para la realización de llamadas de emergencia, socorro y seguridad.
Adicionalmente el reglamento permite utilizar el canal 16 para el establecimiento de comunicaciones entre una costera y un barco y para el anuncio de mensajes que se transmiten por otro canal de trabajo.
El canal 16 no es ni una plataforma para que el “…” de turno de su opinión, ni la frecuencia de “radio patio”. Es vital que se mantenga el máximo silencio dentro de la frecuencia y que solo se utilice con fines de seguridad marítima.
Canal 70
Frecuencia 156,525 MHz
El canal 70 está codificado para la emisión y recepción en exclusiva de alertas mediante Llamada Selectiva Digital (LSD). Es inútil intentar transmitir un mensaje de voz a través de esta frecuencia.
Esta canal es de “escucha” obligatoria. Aunque en realidad no hay nada que escuchar. Los equipos dotados de LSD (obligatorio en zona 3, 2 y 1) emiten una señal sonora cuando reciben una alerta, indicando el tipo de mensaje: emergencia, rutina, etcétera, y el emisor.
También es un canal internacional, con el que se pueden derivar a un segundo canal de trabajo a estaciones costeras, barcos individuales, grupos de barcos o todas las estaciones en la cobertura. Su presencia a bordo constituye una seguridad añadida, al ser capaz de emitir una alerta en caso de emergencia con tan solo pulsar un botón.
Canales 75 y 76
A pesar de la distancia, son los canales que ocupan las frecuencias anterior y posterior al canal 16. Su uso está limitado a cuestiones relacionadas con la seguridad de la navegación y su propósito es el de servir de “cortafuegos” para mantener lo más limpia posible la frecuencia de emergencia del canal 16. Solo se puede emitir a 1 W. Lo utilizan las costeras.
Canales 10 y 11
En similitud a los anteriores son los colindantes al canal 70. Como el 75 y 76 su uso está limitado, siendo las estaciones costeras las que predominantemente los utilizan con propósito de la seguridad en la navegación.
Canal 13
Mundialmente es el canal utilizado para la seguridad de las operaciones portuarias, por lo que se le asigna a Prácticos de puerto. Si existen puertos próximos o el tráfico radiofónico es muy elevado se suman los canales sucesivos: 14 y 15.
Canal 6
El canal internacionalmente establecido para las comunicaciones de seguridad y salvamento en las que intervienen embarcaciones y aviones. Esta frecuencia se comparte con el espectro radiofónico aéreo y es de uso exclusivo en operaciones de Búsqueda y Salvamento (SAR).
El canal 6 también se utiliza para comunicaciones exclusivamente entre barcos sin propósito de seguridad a baja potencia.
Canal 9
El canal de los clubes náuticos y deportivos. Muchos VHF portátiles disponen de un botón para cambiar automáticamente del 16 al 9 y así poder mantener una escucha más o menos efectiva del tráfico marítimo y las comunicaciones con el puerto deportivo.
No obstante, el canal 9 no es un canal para comunicaciones entre barcos, sino que su uso está limitado a establecer comunicación entre barco y puerto deportivo y viceversa, debiendo usar el patrón la mínima potencia (1 W) para no interferir con puertos próximos.
Canales para hablar entre barcos
Los anteriores son canales reservados a la seguridad de la navegación. Sin embargo, el espectro radiofónico del VHF es mucho más amplio. Existe una serie de canales que están destinados a comunicaciones entre barcos sin propósito de la seguridad (los canales de hablar por hablar): 6, 8, 72 y 77.
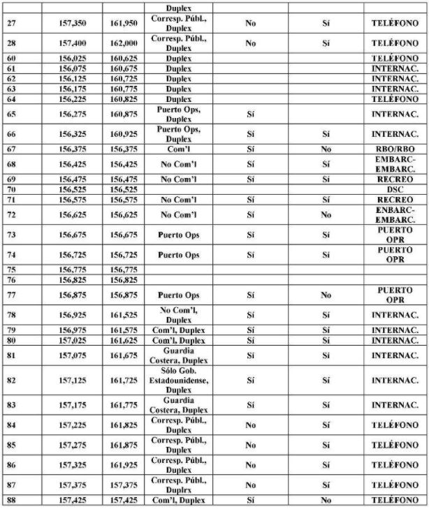
Y para configurar las frecuencias en una nueva emisora podéis usar estas tablas de referencia


Blu
Rafael del Castillo EA8XM, creador de La Rueda de los Navegantes, falleció en marzo de 2019. La frecuencia normalmente utilizada era 14.360 MHz en USB, y tenía colaboradores en Azores y Cabo verde.
Actualmente parece que Altino, uno de sus colaboradores, ha tomado el relevo transmitiendo desde Faial en Azores, en la misma frecuencia, a las 22:00 UTC generalmente cada día.
Te adjunto el enlace al foro de La taberna del Puerto, en donde se comenta este tema: AQUI
